Illumina sequencing:
MinION:
Identifier (run, cluster, …)
Sequence (A, T, G, C)
“+” separator
Quality (ASCII)

| Row | Description |
|---|---|
| 1st row | Identifier (run, cluster, location on flow cell, read number, etc.) |
| 2nd row | Nucleotide sequence (A, T, G, C, N) |
| 3rd row | Separator line (optionally repeats carries an identifier) |
| 4th row | Quality scores for each base (ASCII-encoded Phred scores) |

Example: NCBI SRA GenBank entry: SRR5560266 (single read data)





Here is the R code in case you want to create this graph by yourself in R…
library(ggplot2)
P <- 10^seq(-4, 0, length.out = 1000)
df <- data.frame(P = P, Q = -10 * log10(P))
Qvals <- c(10, 20, 30)
guides <- data.frame(
Q = Qvals,
P = 10^(-Qvals/10),
col = c("red", "forestgreen", "blue"),
lty = c("dashed", "dotted", "dotdash")
)
p <- ggplot(df, aes(x = P, y = Q)) +
geom_line(size = 1) +
geom_segment(data = guides,
aes(x = 1e-4, xend = P, y = Q, yend = Q,
colour = col, linetype = lty),
inherit.aes = FALSE, size = 1) +
geom_segment(data = guides,
aes(x = P, xend = P, y = 0, yend = Q,
colour = col, linetype = lty),
inherit.aes = FALSE, size = 1) +
geom_point(data = guides,
aes(x = P, y = Q, colour = col),
inherit.aes = FALSE, size = 3) +
scale_x_log10(
limits = c(1e-4, 1),
breaks = c(1e-4, 1e-3, 1e-2, 1e-1, 1),
labels = c("0.0001", "0.001", "0.01", "0.1", "1")
) +
scale_y_continuous(
limits = c(0, 45),
breaks = seq(0, 45, by = 5),
expand = expansion(mult = c(0, 0))
) +
scale_colour_identity() +
scale_linetype_identity() +
labs(x = expression(P == 10^{-Q/10}),
y = expression(Q == -10 %.% log[10](P))) +
theme_minimal(base_size = 14) +
theme(
panel.border = element_rect(color = "black", fill = NA),
panel.grid.major = element_blank(),
panel.grid.minor = element_blank(),
axis.ticks = element_line(color = "black", size = 0.5),
axis.ticks.length = unit(0.2, "cm")
)
ggsave("q_vs_p_plot.png",
plot = p,
width = 1200*f, height = 1200*f, units = "px", dpi = 300, bg="white")

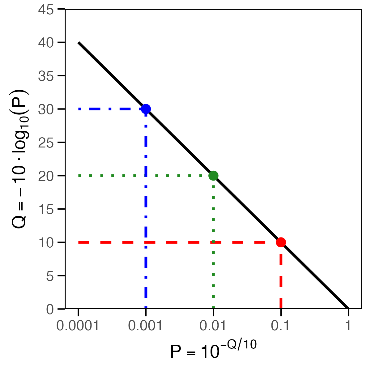
| Quality score (Q) | Probability that a base is called incorrectly |
Accuracy | Error probability |
|---|---|---|---|
| 10 | 1 in 10 | 90% | 10% |
| 20 | 1 in 100 | 99% | 1% |
| 30 | 1 in 1000 | 99.9% | 0.1% |
| 40 | 1 in 10000 | 99.99% | 0.01% |
| Q | P_error | ASCII | Q | P_error | ASCII | Q | P_error | ASCII | Q | P_error | ASCII |
|---|---|---|---|---|---|---|---|---|---|---|---|
| 0 | 1.00000 | ! | 11 | 0.07943 | , | 22 | 0.00631 | 7 | 33 | 0.00050 | B |
| 1 | 0.79433 | ” | 12 | 0.06310 | - | 23 | 0.00501 | 8 | 34 | 0.00040 | C |
| 2 | 0.63096 | # | 13 | 0.05012 | . | 24 | 0.00398 | 9 | 35 | 0.00032 | D |
| 3 | 0.50119 | $ | 14 | 0.03981 | / | 25 | 0.00316 | : | 36 | 0.00025 | E |
| 4 | 0.39811 | % | 15 | 0.03162 | 0 | 26 | 0.00251 | ; | 37 | 0.00020 | F |
| 5 | 0.31623 | & | 16 | 0.02512 | 1 | 27 | 0.00200 | < | 38 | 0.00016 | G |
| 6 | 0.25119 | ’ | 17 | 0.01995 | 2 | 28 | 0.00158 | = | 39 | 0.00013 | H |
| 7 | 0.19953 | ( | 18 | 0.01585 | 3 | 29 | 0.00126 | > | 40 | 0.00010 | I |
| 8 | 0.15849 | ) | 19 | 0.01259 | 4 | 30 | 0.00100 | ? | 41 | 0.00008 | J |
| 9 | 0.12589 | * | 20 | 0.01000 | 5 | 31 | 0.00079 | @ | 42 | 0.00006 | K |
| 10 | 0.10000 | + | 21 | 0.00794 | 6 | 32 | 0.00063 | A |
| Q | P_error | ASCII | Q | P_error | ASCII | Q | P_error | ASCII | Q | P_error | ASCII |
|---|---|---|---|---|---|---|---|---|---|---|---|
| 0 | 1.00000 | ! | 11 | 0.07943 | , | 22 | 0.00631 | 7 | 33 | 0.00050 | B |
| 1 | 0.79433 | ” | 12 | 0.06310 | - | 23 | 0.00501 | 8 | 34 | 0.00040 | C |
| 2 | 0.63096 | # | 13 | 0.05012 | . | 24 | 0.00398 | 9 | 35 | 0.00032 | D |
| 3 | 0.50119 | $ | 14 | 0.03981 | / | 25 | 0.00316 | : | 36 | 0.00025 | E |
| 4 | 0.39811 | % | 15 | 0.03162 | 0 | 26 | 0.00251 | ; | 37 | 0.00020 | F |
| 5 | 0.31623 | & | 16 | 0.02512 | 1 | 27 | 0.00200 | < | 38 | 0.00016 | G |
| 6 | 0.25119 | ’ | 17 | 0.01995 | 2 | 28 | 0.00158 | = | 39 | 0.00013 | H |
| 7 | 0.19953 | ( | 18 | 0.01585 | 3 | 29 | 0.00126 | > | 40 | 0.00010 | I |
| 8 | 0.15849 | ) | 19 | 0.01259 | 4 | 30 | 0.00100 | ? | 41 | 0.00008 | J |
| 9 | 0.12589 | * | 20 | 0.01000 | 5 | 31 | 0.00079 | @ | 42 | 0.00006 | K |
| 10 | 0.10000 | + | 21 | 0.00794 | 6 | 32 | 0.00063 | A |
| Q | P_error | ASCII | Q | P_error | ASCII | Q | P_error | ASCII | Q | P_error | ASCII |
|---|---|---|---|---|---|---|---|---|---|---|---|
| 0 | 1.00000 | ! | 11 | 0.07943 | , | 22 | 0.00631 | 7 | 33 | 0.00050 | B |
| 1 | 0.79433 | ” | 12 | 0.06310 | - | 23 | 0.00501 | 8 | 34 | 0.00040 | C |
| 2 | 0.63096 | # | 13 | 0.05012 | . | 24 | 0.00398 | 9 | 35 | 0.00032 | D |
| 3 | 0.50119 | $ | 14 | 0.03981 | / | 25 | 0.00316 | : | 36 | 0.00025 | E |
| 4 | 0.39811 | % | 15 | 0.03162 | 0 | 26 | 0.00251 | ; | 37 | 0.00020 | F |
| 5 | 0.31623 | & | 16 | 0.02512 | 1 | 27 | 0.00200 | < | 38 | 0.00016 | G |
| 6 | 0.25119 | ’ | 17 | 0.01995 | 2 | 28 | 0.00158 | = | 39 | 0.00013 | H |
| 7 | 0.19953 | ( | 18 | 0.01585 | 3 | 29 | 0.00126 | > | 40 | 0.00010 | I |
| 8 | 0.15849 | ) | 19 | 0.01259 | 4 | 30 | 0.00100 | ? | 41 | 0.00008 | J |
| 9 | 0.12589 | * | 20 | 0.01000 | 5 | 31 | 0.00079 | @ | 42 | 0.00006 | K |

